フィッシャー投影法・書き方 フィッシャー投影式を勉強しているのですが、 説明文には、 「横線は紙面手前に突き出ている結合を表し、縦線は紙面後方に伸びている結合を表す」・・・1 と書いてありました。構造式の表記方法の一つ。 これにより、糖類等の複雑な構造を、容易に書き分ける事が可能となる。 書き方 炭素鎖を垂直に書く 一番上に一番酸化度の大きい炭素を書く 「水平線は紙面から観察者に向いて飛び出ている」「垂直線は紙面から裏側にもくじ 1 不斉炭素原子をもつとキラル化合物になる 11 表記はFischer投影式と破線くさび形表記;
化学についてです 左のニューマン投影式をジグザグ構造式に変換す その他 教育 科学 学問 教えて Goo
フィッシャー投影式 書き方
フィッシャー投影式 書き方-公式・専門家 質問・相談 「フィッシャー投影式」の検索結果 質問一覧 ⚠️至急です⚠️ この化合物のフィッシャー投影式とニューマン投影式が誰かわかる方いませんか? ? 回答受付中 質問日時: 21/8/25 2223分子の立体構造を平面上に書き表すために使用される化学式の書き方を投影式という。投影式には,次の種類がある。 フィッシャー投影式( Fischer projection ) 注目する不斉炭素について,上向きの置換基を左右に,下向きの置換基を前後になるよう配置した



光学異性体 猫でもわかる有機化学
糖の表わし方 フィッシャー投影式 (Fischer) ハース投影式 (Haworth) 立体配座式 * * * *印は不斉炭素原子 Fischer投影式の描き方 L2 RS表記で立体配置を理解する 21 時計回りはR体、反時計回りはS体となるNewman投影法 Fischer投影法 2.異性体 構造異性体と立体異性体 光学異性体DL表示法,RS表示法 ジアステレオ異性体 シストランス異性体 配座異性体アルカンとシクロヘキサン 異性体の分類 異性体 構造異性体 立体異性体 結合様式 異なる 同じ 同じ分子式を持つ
回答数: 1 件 有機化学についての質問です。 ニューマン投影式とフィッシャー投影式の書き方を教えてください。 よろしくお願いします。 通報する この質問への回答は締め切られました。 質問の本文を隠す A 同じカテゴリの新着質問投影式 (とうえいしき)とは、 分子 の立体構造を平面上に書き表すために使用される 化学式 の書き方 。 代表的なものに以下の3種類がある。 ニューマン投影式 ハース投影式 フィッシャー投影式 その他、以下の表記法も投影式と呼ばれることがあるフィッシャー投影式(フィッシャーとうえいしき、英 Fischer projection )は、不斉炭素についての絶対立体配置を表現するために使われる構造式である。 11年にエミール・フィッシャーが糖類の立体配座を表現するために初めて使用した。 概要 フィッシャー投影式は以下のようにして構築さ
破線ーくさび形表記法のFischer投影式への変換 十d b ぷ 一び→α・・ーC咽圃c ーヴ ¥C 破線一くさび形表記法のFischer投影式への変換法について学んだので, 次に 54 msLUe V且 投影式2、, h,、 J をFischer投影式に書き換えるにはこのような形に動かす必要があるFischer投影式 に用いる型C十 くさび形表記法にはほかの書き方もある下に示す(5)2ーブロモブタンの構造 式について考えてみよう これらは同じ分子を別の方向から見ただけである (S)2フロモブタンの構造式の六通りの書き方 H 81 / H一一 C "¥'ICH3 CH2 CH3 C、フィッシャー投影式 フィッシャー投影式(英語:Fischcer projection formula)は、十字で表された構造式の中心に不斉炭素原子が位置するものとし、その上下に位置する原子は紙面の奥に、左右に位置する原子は紙面の手前に出ているものとして表現する方法です。



新 有機化学 基本の反応機構 日本語 英語版 Organic Chemist 15年09月 Twilog



糖質 環状構造の単糖 技術情報館 Sekigin 環状構造 A型 B型 アノマー の単糖 アノマー炭素 ヒドロキシル基 グルコシド性ヒドロキシル基 不斉炭素 立体異性体 五員環構造のフラノースの例 リボース ヌクレオシド 核酸塩基 リボ核酸 デオキシ
グリセルアルデヒドのdl表記法 αアミノ酸の立体構造のdl表記法は、グリセルアルデヒドの立体構造が基準になっている。 グリセルアルデヒドは三炭糖の化合物であり、アルデヒド基に隣接する炭素は不斉炭素であり、水素原子(h)、アルデヒド基 (cho)、ヒドロキシ基(oh)、ヒドロキ構造式の整形 112 構造式のチェック 113 化学的な警告 114 章 7 BioDraw (Professional レベルのみ) 116 フィッシャー投影図 416 チュートリアル 4 遠近感のある描画 4 ChemDraw は、科学者や科学を学ぶ学生、さらに科学関連の著作活動を行う方を対象として設計さ73 化合物1の構造式をニューマン投影図または木びき台( sawhorse )投影図のどちらかで描け。 化合物1の構造式をフィッシャー投影図で描け。 ニューマン投影図:解答用紙にPhが指定されているので, 矢印の方向から眺めると(点線が左,くさびが右になる)



2



化学の質問です くさび形から フィッシャー投影式に直すやり方が Clearnote
√画像をダウンロード アミノ酸 フィッシャー投影式 書き方 アミノ酸 フィッシャー投影式 書き方 フィッシャー投影式 フィッシャー投影式(英語:Fischcer projection formula)は、十字で表された構造式の中心に不斉炭素原子が位置するものとし、その上下 チロシン 化学構造式 書き方 化学化合物の構造式は、原子がどのように配置されているかを示す分子構造のグラフィック表現です。 限られた数の記号を有し、限られた記述能力しかできない化学式とは異なり、構造式は分子構造の完全な幾何学的表現をトップページ 広島大学 学術情報リポジトリ



Fischer投影式からnewman投影式の書き方がわかりません わかるかた Clearnote



フィッシャー投影式 Wikipedia
フィッシャーの投影式が一般的であるが, その他の表示方法も利用されている。 かつて,旋光性は,右旋性 (dextrorotatory) を d, 左旋性 (levorotatory) を lと 表してい たが,現在では+-で表している。そして,糖についてのフィッシャーの投影式か それが、こんな感じの図です。 これがフィッシャー投影式で表した グルコースです。 炭素は上の図のように、4方向に 手を伸ばしている位置関係を 紙に書くと下のような書き方を 提案しました。 この図で見ると分かりやすいかもしれません。 A,Bがフィッシャー投影式 直鎖飽和炭化水素CH3(CH2)n2CH3 の名称 n 名 称 n 名 称 1 methane メタン 7heptaneヘプタン 2 ethane エタン 8octaneオクタン 3 propane プロパン 9nonaneノナン 4 butane ブタン 10 decane デカン 5 pentane ペンタン 11 undecane ウンデカン 方が異なる



フィッシャー投影式について知識不足で申し訳ないですが フィッシャー投影式の書き Yahoo 知恵袋



グルコースにl型とd型があるのは何故でしょうか 9 26更新 医学博士 Dr 松本のブログ
大学生・専門学校生・社会人 1年以上前 はる 化学の質問です。 くさび形から、フィッシャー投影式に直すやり方が どうしても理解できません。 わかる方、教えてください。構造式の整形 115 構造式のチェック 116 化学的な警告 117 第 7 章 BioDraw (Professional レベルのみ) 119 フィッシャー投影図 426 チュートリアル 4 遠近感のある描画 430 ChemDraw は、科学者や科学を学ぶ学生、さらに科学関連の著作活動を行う方を対象として設計フィッシャー投影式への変換(5) • 実際の理解に際しては、 –物質の名称はフィッシャー投影式とセットで覚え る。 –フィッシャー投影式だけで説明できるが、構造と の関係がわかれば理解の助けにな



フィッシャー投影式 Rs絶対配置の決定 生命系のための理工学基礎



フィッシャー投影式とは コトバンク
Fischer 投影式(フィッシャー投影式 / Fischer projection / 伏沙sha投影型)の書き方を解説しています。また、Fischer 投影式で表した2つの物質が同一の構造式の整形 108 構造式のチェック 109 化学的な警告 109 章 7 BioDraw (Professional レベルのみ) 112 フィッシャー投影図 403 チュートリアル 4 遠近感のある描画 407 ChemDraw は、科学者や科学を学ぶ学生、さらに科学関連の著作活動を行う方を対象として設計さくさび形 化学 このページでは、化合物の立体表記方法を説明しています。立体異性体を区別するのに欠かせない、破線-くさび形表記、ニューマン投影式、フィッシャー投影式について理解し、使えるようになりましょう



フィッシャー投影式 Rs絶対配置の決定 生命系のための理工学基礎



薬剤師国家試験 薬学 薬学部 薬 くすり Be Pharmacist 基礎薬学
フィッシャー投影式からのR,S絶対配置の決定 フィッシャー投影式が与えれれた時に、それが (R)であるか (S)であるかを簡単に見分けることができます。 不斉炭素原子に結合している4つの置換基を優先順位の高いものから順にa,b,c,dとおきます。 もしdが上 アミノ酸 構造式の覚え方 更新 ここは,タンパク質構成アミノ酸 種の構造を覚えるためのページです。 私が使った覚え方を載せてあるだけで,「アラニン系」など必ずしもアミノ酸の生化学的特徴を反映しない言葉がたくさん出てくるので 文で説明するより図を見てもらった方が早い↓ Haworth(ハース)投影式 糖の環状構造を略式で記述するのに便利。 アキシアル&エクアトリアル(後述)の判別はできないが、cis, transの判別はできる。 (単純に環平面より、「上か下か」で区別するのみ)



化学のrsの表示についてです フィッシャー投影式の場合4番を奥 Yahoo 知恵袋



フィッシャー投影式をジグザグ式に変換する方法 たゆたえども沈まず 有機化学あれこれ
・フィッシャー投影式をジグザグ式に変換する方法 周期表で後の方に来るやつほど強い。 と、長々書きましたが、大学院生や研究室配属された人なんかにとってはこんなのは常識ですが、有機化学始めたての学生にとっては結構めんどくさい問題。6. fischer投影式とnewman投影式を用いて有機化合物の構造を書くことができる 。 h h o h o cho ch oh c c o ch 2oh h h oh ch 2oh h oh oh cho 180o ch 2oh h oh cho ho h c hoh 2c c cho ho h oh r r derythrose フィッシャー投影図 ニューマン投影図 くさび型投影図 hoh 2c cho oh ho ジグザク型投影



フィッシャー投影式をジグザグ式に変換する方法 たゆたえども沈まず 有機化学あれこれ



Fischer投影式の話でも Sarashina Blog



グルコースの構造式



このフィッシャー投影式の書き方を教えてください あなた Yahoo 知恵袋



液クロ2 17 3 1 薬品分析学3 液体クロマトグラフィー2 Ppt Download



生化学 講義補助資料 糖と多糖



Fischer投影式の極意 Den Of Hardworking



フィッシャー投影式 Rs絶対配置の決定 生命系のための理工学基礎



有機化学のfischer投影式の考え方がよく分かりません く Yahoo 知恵袋



フィッシャー投影式で単糖の構造式の暗記量を激減 化学受験テクニック塾



化合物の立体表記方法 破線 くさび形表記 ニューマン投影式 フィッシャー投影式



3



ハース投影式 Wikipedia



フィッシャー投影式から単糖の構造式作り出す Youtube



化学についてです 左のニューマン投影式をジグザグ構造式に変換す その他 教育 科学 学問 教えて Goo



フィッシャー投影式で化学式を書いたとき これであっていますか よろしく Yahoo 知恵袋



光学異性体 キラル化合物のrs表記とエナンチオマー ジアステレオマー リョースケ大学



1



フィッシャー投影式をジグザグ式に変換する方法 たゆたえども沈まず 有機化学あれこれ



2



生化学の問題で アラニンの立体異性体をフィッシャー投影式と透 Yahoo 知恵袋



ジアステレオマー 不斉炭素原子が複数ある場合 生命系のための理工学基礎



Newman投影式の考え方



立体表示



液クロ2 17 3 1 薬品分析学3 液体クロマトグラフィー2 Ppt Download



補足 Fischer投影式 有機機能材料学



化合物の立体表記方法 破線 くさび形表記 ニューマン投影式 フィッシャー投影式



Newman ニューマン 投影式 猫でもわかる有機化学



フィッシャー投影式をジグザグ式に変換する方法 たゆたえども沈まず 有機化学あれこれ



フィッシャー投影式について 2つの不斉炭素を持つフィッシャー投影法につい Okwave



アプリ 有機化学 基本の反応機構 松島芳隆 Fully Vaccinated Twitter પર Rtよろしく 次回の 有機化学 一 の講義資料 宿題として L トレオニンの分子模型を作って持ってきて 前回の講義で学習したfischer投影式 Dl表示 Rs表示などを復習することが



メソ化合物 対称面を使った見分け方 生命系のための理工学基礎



2



2



授業でアミノ酸の構造式は 側鎖の下のcの左側は必ずアミノ基を書かなければならないと習いましたが なぜアミノ基を側鎖のcの右側に書いてはいけないのですか Quora



液クロ2 17 3 1 薬品分析学3 液体クロマトグラフィー2 Ppt Download



2



4 1 1 アミノ酸とタンパク質



ジアステレオマー Wikipedia



2 Bromo 3 Chlorobutaneの立体 回薬剤師国家試験問4



フィッシャー投影式 Rs絶対配置の決定 生命系のための理工学基礎



グリセルアルデヒドのfisher投影式を描くときの原子の優先順位o Yahoo 知恵袋



Fischer投影式からnewman投影式の書き方がわかりません わかるかた Clearnote



化学



第3回 糖質 Part 2 基礎生化学 立体異性体とフィッシャー投影式 1 Youtube



アミノ酸の立体 D体l体の表記 薬学



フィッシャー投影式をジグザグ式に変換する方法 たゆたえども沈まず 有機化学あれこれ



ニューマン投影式の理解の仕方 たゆたえども沈まず 有機化学あれこれ



糖のフィッシャー投影法のohの位置について グルコースのフィシッシャー Yahoo 知恵袋



光学異性体 猫でもわかる有機化学



脂肪族炭化水素 エナンチオマー 光学異性体 技術情報館 Sekigin 有機化合物の立体異性体の一種で 鏡像関係にある異性体 光学異性体 のエナンチオマーの定義 化合物の命名法 表示法 分子構造の立体的な表示法について紹介



L プロリンのフィッシャー投影法 L プロリンの構造式をフィッシャー投影 Okwave



アミノ酸の立体 D体l体の表記 薬学



化合物の立体表記方法 破線 くさび形表記 ニューマン投影式 フィッシャー投影式



医学部編入 有機化学講義011 アルカンその3 1 立体配置 構造式 の記法 医学部学士編入学に半年で合格するサイト ぶっでぃの合格奮闘記



ニューマン投影式の理解の仕方 たゆたえども沈まず 有機化学あれこれ



光学異性体 猫でもわかる有機化学



フィッシャー投影式 Wikipedia



脂肪族炭化水素 エナンチオマー 光学異性体 技術情報館 Sekigin 有機化合物の立体異性体の一種で 鏡像関係にある異性体 光学異性体 のエナンチオマーの定義 化合物の命名法 表示法 分子構造の立体的な表示法について紹介



フィッシャー投影式を透視式に書きかえるもので 丸で囲んでいるもので 化学 教えて Goo



グルコース 鎖状 書き方 フィッシャー投影式 高分子化学 高校化学 エンジョイケミストリープラス Youtube



フィッシャー投影式について 2つの不斉炭素を持つフィッシャー投影法 化学 教えて Goo



フィッシャー投影式 Rs絶対配置の決定 生命系のための理工学基礎



ハース投影式 Wikipedia



ブドウ糖の構造式の種類とdとl Aとbの区別について これ知ってるかい



1



フィッシャー投影式からr S表示をする方法がいまいちわかりません コツが Yahoo 知恵袋



2



立体化学について透視式からフィッシャー投影式への書き換え方がどうしても理解でき Yahoo 知恵袋



フィッシャー投影式



フィッシャー投影図とニューマン投影図



第62回環境計量士試験 濃度 環化 問15 12年3月4日実施 工学系の資格取得をめざす



アミノ酸の1種であるシステインのフィッシャー投影式はこの写真のとおりであ Yahoo 知恵袋



93回薬剤師国家試験問7 立体化学



フィッシャー投影式で表示された化合物の絶対配置 94回薬剤師国家試験



Rs配置 優先順位のつけ方



Fischer投影式とnewman投影式 薬学 これでok



糖類の名前 性質 構造式の覚え方 単糖編



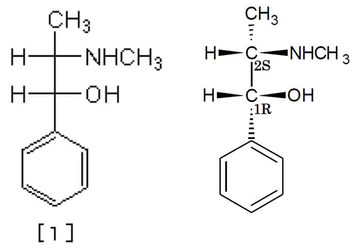
Ephedrineの異性体 Fischerの投影図 回薬剤師国家試験問10



化合物の立体表記方法 破線 くさび形表記 ニューマン投影式 フィッシャー投影式



光学異性体 猫でもわかる有機化学



ニューマン投影式の理解の仕方 たゆたえども沈まず 有機化学あれこれ



フィッシャー投影式 Rs絶対配置の決定 生命系のための理工学基礎



フィッシャー投影式をジグザグ式に変換する方法 たゆたえども沈まず 有機化学あれこれ



化学の質問です くさび形から フィッシャー投影式に直すやり方が Clearnote



フィッシャー投影式とは コトバンク



化合物の立体表記方法 破線 くさび形表記 ニューマン投影式 フィッシャー投影式



化合物の立体表記方法 破線 くさび形表記 ニューマン投影式 フィッシャー投影式



化学の質問です くさび形から フィッシャー投影式に直すやり方が Clearnote



Fischer投影図について質問です Aとbは構造式の配置は同じにもかか Yahoo 知恵袋


0 件のコメント:
コメントを投稿